光源有哪两个颜色指标?光源的颜色包括色温和显色性两个颜色指标,色温是衡量光源色的指标,即光源自身显现的颜色;而是衡量光源视觉质量的指标,即光源照射到物体表面时所显现的颜色。光源的色温和显色性都与光源的光谱分布率有关,那么,色温和显色性什么关系?本文为大家作了介绍,感兴趣的朋友可以了解一下!

一是人的视觉观察光源时所看到的表面颜色,当此表面颜色与黑色体火焰颜色相同时称此颜色的火焰温度叫光源的色温,是衡量光源色的指标。常见光源的色温如下所示:
晴天光源自然光:色温11000~20 000K
阴天天空自然光:色温6500K
日光荧光灯:色温6500K
白色荧光灯:色温4500K
暖白色荧光灯:色温4500K
白炽灯:色温2900K
卤钨灯:色温3400K
高压汞灯:色温5500K
高压钠灯:色温2000~2100K
金属卤化灯:色温3800~6000K
光源色温的外观效果如下所示:
暖色光:暖色光的色温在3300K以下,暖色光与白炽灯相近,红光成分较多,能给人以温暖,健康,舒适的感受。适用与家庭,住宅,宿舍,宾馆等场所或温度比较低的地方。
冷白色光:又叫中性色,它的色温在3300K到5300K之间,中性色由于光线柔和,使人有愉快,舒适,安详的感受。适用与商店,医院,办公室,饭店,餐厅,候车室等场所。
冷色光:又叫日光色,它的色温在5300K以上,光源接近自然光,有明亮的感觉,使人精力集中及不容易睡着。适用与办公室,会议室,教室,绘图室,设计室,图书馆的阅览室,展览橱窗等场所。
另一重含义是指光源照在物体上所呈的颜色,即客观效果叫光源的显色性,它是衡量光源视觉质量的指标。为了量化表示光源的显色性,引入显色指数Ra,规定太阳光的显色指数为标准值100,光源的显色越接近自然光则Ra越接近100。常见光源的显色指数如下所示:
自然光:显色指数Ra100
日光色荧光灯:显色指数Ra77~80
白色荧光灯:显色指数Ra65
暖白色荧光灯:显色指数Ra65
白炽灯:显色指数Ra95
卤钨灯:显色指数Ra95
高压汞灯:显色指数Ra30~ 40
高压钠灯:显色指数Ra20~30
金属卤化灯:显色指数Ra65
光源的色温与显色性,从本质上说,都是由它的光谱能量分布决定的。以日光为例,日光是由红、橙、黄、绿、青、蓝、紫等多种颜色的光按一定的比例混合而成。日光照到某一种颜色的物体上,物体将其他颜色的光吸收,而将这种颜色的光反射出来。比如,蓝布受日光照射后,就将蓝光反射出来,并将其他光吸收,因此人眼看到的这块布是蓝色的。由于日光本身包含了各种颜色,再加上各种物体对不同的光的反射性能不一样,所以大自然在日光照射下就显得五彩缤纷。钠灯则不然,钠灯发出的光主要是黄光,当黄光照在蓝布上,蓝布将黄光吸收,蓝布虽然能反射蓝光,但钠灯发出的光中基本上没有蓝光,也就谈不上反射蓝光了。因此在钠灯照射下蓝布就变成黑布了。钨丝灯的光谱能量分布是连续的,各种颜色都有,因而有较好的显色性,但其辐射能量分布偏重于长波方面,整体上看来光色偏红偏黄。
然而,光源的色温与显色性之间并没有必然的联系,相同色温的各光源之间的显色性差别可能很大,相同显色指数的各光源之间的色温差别也可能很大,各种色温的光源都可能有较好的显色性,也可能有较差的显色性。如:钨丝灯色温低,显色性好;高压钠灯色温低,而显色性差;马路上的高压汞灯,从远处看它发出的光既亮又白(色温高),但被它照射的人的脸色却象抹了一层青灰色(显色性差);而高压缸灯,发出的光亮白(色温高),灯下的颜色也不失真(显色性好)。
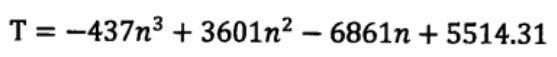
色温是描述光源光谱质量最常用的指标,低色温光源的能量分布中红辐射较多,通常称为暖色光:高色温光源的能量分布中蓝辐射相对较多,通常称为冷色光。当知道待测光源的光谱分布后,可确定出光源的色度坐标(x,y)。若光源的色度坐标点位于两条相邻等温线M1和M2之间,则可用内插法求得光源的相关色温。
设d1为光源坐标点到等温线M1的距离,d2为到等温线M2的距离。则光源的相关色温T由下式表示:

通常情况下用下面近似公式得到色温T:

其中:n=(x-0.3320)/y-0.1858。
显色指数系数仍为目前定义光源显色性评价的普遍方法。我国国家标准GB/T 5702-2003《光源显色性评价方法》中规定用普朗克辐射体(色温低于5000K)和组合日光(色温高于5000K)做参照光源。为了检验物体在待测光源下所显现的颜色与在参照光源下所显现的颜色相符的程度,采用“一般显色性指数“作为定量评价指标。显色性指数最高为100。显色性指数的高低,就表示物体在待测光源下“变色”和“失真”的程度。
显色指数是表示光源显色性的,一般用平均显色指数Ra来表示。确定显色指数Ra,有必要先确立与自然光近似的标准光源(光的性质与亮度不随天气和时间而改变),然后再用国际照明委员会(CIE)规定的从中间色的红到紫的8个为1组的色式样作为标准色,在标准光源和被测试光源下做比较,色差越小则表明被测光源颜色的显色性越好。当色差等于0时,Ra值为100,表明被照物体在被测试光源下显示出来的颜色与在标准光源下一致。
标准颜色在标准光源照射下,显色指数为100。物体在某种光源照射下,当Ra≥80时,显色性为优良;Ra=79~50时,显色性为一般;Ra<50时,显色性为差。白炽灯的理论显色指数为100,但实际生活中的白炽灯种类繁多,应用也不同,所以其Ra值不是完全一致的,只能说是接近100,是显色性最好的灯具。太阳光和火光的自然光属于标准光源,所以一般显色指数Ra为100或接近此值。