棉花分级室模拟昼光照明装置是一种专用于棉花分级的照明光源装置,该装置用于模拟D75光源,提供与自然白昼光光谱接近的光照环境,保证棉花分级的准确性。为了保证棉花分级室模拟昼光照明装置的稳定性,就需要对其进行定期的校准。本文对棉花分级室模拟昼光照明装置的校准方法做了介绍。

棉花分级室模拟昼光照明为识别棉花表面颜色时提供了一种标准光源,用于评定棉花的颜色级、轧工质量和品级等感官检验指标。棉花分级室是一个单独的房间,由专用灯具、分级台和相关设施组成。模拟昼光照明提供D75标准光源,模拟相当于北向中等阴天昼光照明及光谱分布,其结构如下图所示。

根据相应的标准规范,棉花分级室模拟昼光照明装置的校准主要包括光照度和相关色温的校准。将工作台表面均匀选取9个校准点位置,校准点离相近的分级台面边缘约250mm,中间校准点处于各线的交叉点。将照度计、色温表传感器分别平置于工作台表面,开灯平衡30min后,依次校准各点的光照度及相关色温,校准员与传感器保持足够距离以避免干扰校准数据,待显示数值稳定后读取并记录各点光照度、相关色温。按照上述方法重复校准,共校准3次,得到3组9个校准点的数据,计算出的9个校准点平均值、最小值和最大值,为校准结果。其校准数据的处理分别如下:
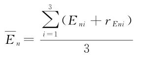
1.光照度平均值
第n个校准点光照度平均值按照下式计算:

式中:Eni为第n个校准点光照度平均值,lx;Eni第n个校准点第云次光照度实测值,lx;rEni第n个校准点第i次光照度实测值所对应的照度计修正值,lx;n为校准点数,n=9。
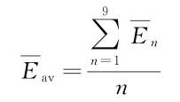
光照度总平均值按照下式计算:

式中:Eav为光照度总平均值,lx;En为第n个校准点光照度平均值,lx;n为校准点数,n=9。
2.光照度均匀度
光照度均匀度按照下式计算:

式中:UE为光照度均匀度,%;Emin为9个校准点中的最小光照度平均值,lx;Eav为光照度总平均值,lx。
3.相关色温平均值
第n个校准点相关色温按照下式计算:

式中:Tn为第n个校准点相关色温平均值,K;Tni为第n个校准点第i次相关色温实测值,K;rTni为第n个校准点第i次光照度实测值所对应的色温表修正值,K;n为校准点数,n=9。
相关色温总平均值按照下式计算:

式中:Tav为相关色温总平均值,K;Tn为第n个校准点相关色温实测值,K;n为校准点数,n=9。
4.相关色温均匀度
相关色温均匀度按照下式计算:

式中:UT为光相关色温均匀度,%;Tmin为9个校准点中的最小相关色温平均值,K;Tav为相关色温总平均值,K。