光源的相关色温是评价光源颜色特征的指标,光源的显色指数是评价物体在光源下颜色显现好坏的量化指标,它们是评价光源性能的重要指标。那么,光源相关色温和显色指数怎么量化计算?本文对光源相关色温和显色指数量化计算方法做了介绍。

对光源进行颜色测量时,一般要评价光源的显色特性。研究光源的显色特性可以为提高照明质量、改进光源特性提供必要的技术参数。评价光源的显色特性时,首先要确定光源的相关色温Tc。

上图给出了黑体辐射体和CIE标准照明体D的UV色品轨迹。根据求得的待测光源的色品坐标(uk,vk),在相邻的两等温线中间,用内插法求得光源的相关色温Tc。
CIE把普朗克黑体作为光源显色性的参考标准,在评价5000K以下的光源的显色性时,把它与5000K以下的黑体进行比较,认为黑体的显色指数为100。把标准照明体D作为评价色温大于5000K 光源显色性的参考标准。由相关色温Tc确定参考标准的色温,并使两者之间的色品差小于15麦德勒。
CIE用试验色方法来考察光源的显色特性。共有14种试验色,前8种试验色用于光源的一般显色指数R。及特殊显色指数Ri(i=1,2……8)的计算,后6种专用于特殊显色指数Ri(i=9,10……14)的计算。测量并计算这些试验色在参考标准和待测光源照明下的色差,就可以求得光源的显色指数,用于表征光源显色性的好坏程度。
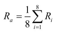
在参照标准和待测光源照明同一试验色下获得的色差△Ei(i=1,2……14,为试验色的号数),那么特殊显色指数Ri为:Ri=100-4.6△Ei。
一般显色指数Ra为:
