很多朋友觉得对色灯箱比较麻烦,就会选择购买我们品牌旗下的色差仪产品,而色差仪中常说的色差lab值是什么意思呢?今天小编就给大家简单的解释一下!

什么是色差?
色差,色差又称色像差,是透镜成像的一个严重缺陷,色差简单来说就是颜色的差别,发生在以多色光为光源的情况下,单色光不产生色差。可见光的波长范围大约400至700纳米,不同波长的光,颜色各不相同,其通过透镜时的折射率也各不相同,这样物方一个点,在像方则可能形成一个色斑。色差一般有位置色差,放大率色差。位置色差使像在任何位置观察,都带有色斑或晕环,使像模糊不清,而放大率色差使像带有彩色边缘。色差也广泛应用到我们日常生活中,意思为颜色的差别,也就是同一件产品,产品与样品颜色差别,深或浅的差距。
色差lab值的含义:
颜色模型(Lab)基于人对颜色的感觉。Lab中的数值描述正常视力的人能够看到的所有颜色。因为Lab描述的是颜色的显示方式,而不是设备(如显示器、桌面打印机或数码相机)生成颜色所需的特定色料的数量,所以Lab被视为与设备无关的颜色模型。颜色色彩管理系统使用Lab作为色标,以将颜色从一个色彩空间转换到另一个色彩空间。Lab颜色模式的亮度分量(L)范围是0到100。L=50时,就相当于50%的黑。a和b的值域都是由+127至-128,其中+127 a就是洋红色,渐渐过渡到-128 a的时候就变成绿色;同样原理,+127 b是黄色,-128 b是蓝色.所有的颜色就以这三个值交互变化所组成。
△E总色差的大小
△L+表示偏白,△L-表示偏黑
△a+表示偏红,△a-表示偏绿
△b+表示偏黄,△b-表示偏蓝
色差值计算公式:
色差有好几个计算公式,常用的有DE76(DEab)、DE94、DE2000、DECMC等,这几个公式大多应用的行业不同,但是现在DE2000和DECMC是主要推行和推荐的公式,因为更接近人眼的刺激感觉。
支持输入标准和样品的L*a*b*颜色值,然后点击计算,下方就能将所有的色差公式对应的色差值计算出来,点击左侧的缩略图还能视觉比对颜色。
LAB颜色空间是基于人眼对颜色的感知,可以表示人眼所能感受到的所有颜色。L表示明度,A表示红绿色差,B表示蓝黄色差。两个颜色之见的色差:
ΔE=( ΔL^2 + ΔA^2 + ΔB^2 ) ^ (1/2)
ΔE 表示色差,ΔL/ΔA/Δb分别表示两个颜色之间在不同分量的差值。
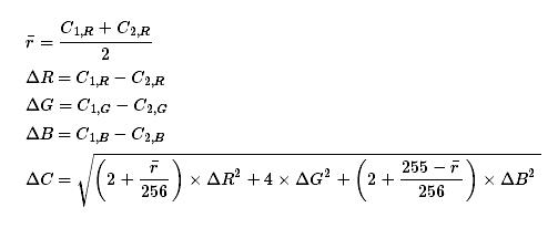
为了简化计算及保证计算效果,有人在RGB空间上通过公式计算出加权的欧式距离。以下为具体的计算方法:

以上就是小编搜集整理的“色差lab值是什么意思?”全部内容,想了解更多行业资讯的用户,可以继续关注我们平台的后续更新哟!